Contoh Soal Sbmptn Matematika Matriks
Perkalian matriks adalah salah satu pembelajaran dalam ilmu matematika. Contoh file soal uts lengkap kelas 1 6 sdmi semua mata pelajaran 20162017 berikut ini adalah kumpulan dari berbagi sumber tentang contoh soal sbmptn matematika matriks pembahasan yang bisa gunakan untuk bank soaldownloadsd dan diunduh secara gratis dengan menekan tombol download biru dibawah ini.
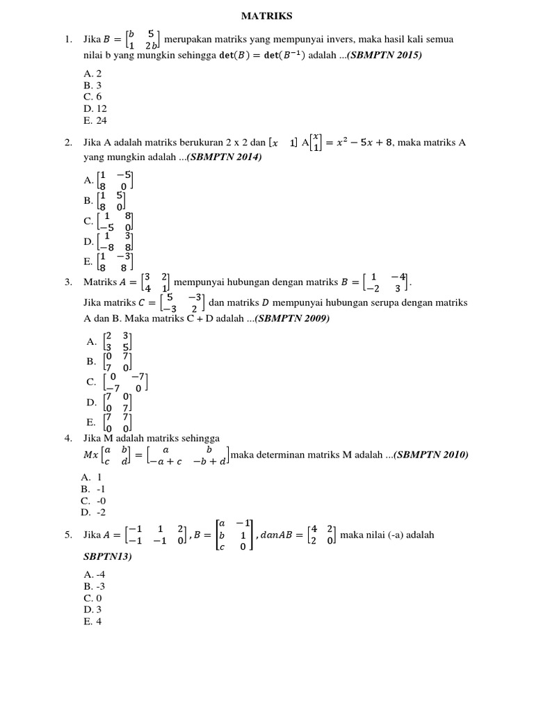
Latihan Soal Matematika Sbmptn Matriks Soal No 8
Pada artikel soal dan pembahasan sbmptn matematika dasar lengkap kami akan sajikan link soal soal sbmptn beserta pembahasannya dari tahun 2000 sampai tahun terbarujika teman teman memiliki banyak waktu persiapan sbmptn sebaiknya kerjakan semua tipe soal yang ada dari semua tahun tapi jika terbatas maka kami sarankan cukup mengerjakan soal soal sbmptn 5 tahun terakhir.
Contoh soal sbmptn matematika matriks. Berikut rumus contoh soal dan pembahasan perkalian matriks 3x2 2x2 2x3 3x1 4x4 dst. Soal no4 sbmptn 2014 dasar jika p dan 2 p 1. Guru sd smp sma contoh soal sbmptn matematika matriks pembahasan.
Matematika dasar sma itu ternyata luas apalagi untuk kamu yang ingin menyiapkan diri menghadapi sbmptn nanti. Download rangkuman contoh soal matriks dalam bentuk pdf klik disini. Kali ini kita akan belajar latihan dan pembahasan soal prediksi hots sbmptn matematika dasar.
Soal pembahasan matematika sd smp sma. Contoh materi yang keluar di soal matematika dasar sbmptn february 2 2016 matematika sbmptn quipperian untuk kamu yang akan menempuh sbmptn kamu pasti sudah tahu bahwa salah satu mata uji dalam tes kemampuan dan potensi akademik tkpa adalah matematika dasar kan. Contoh soal dan pembahasan tentang matriks contoh soal dan pembahasan tentang operasi matriks contoh soal dan pembahasan tentang transpose matriks contoh soal dan pembahasan tentang determinan matriks contoh soal dan pembahasan tentang matriks invers.
Kumpulan soal matriks seleksi masuk ptn ini kita susun dari berbagai tahun dan berbagai jenis ujian masuk ptn seperti sbmptn snmptn spmb umptn seleksi mandiri seperti simak ui utul ugm atau um ugm spmk ub dan selma um. Rangkuman materi matematika bab matriks disertai contoh soal dan jawaban lengkapnya simak disini. Dengan p 1 menyatakan invers matriks p maka xy.
Nah salah satunya terdapat materi matriks yang selalu keluar di soal soal sbmptn nanti. Soal matematika matriks pembahasan contoh soal matematika matriks adalah kumpulan bilangan simbol atau ekspresi berbentuk persegi panjang yang disusun menurut baris dan kolom. Squad apakah kamu merasa takut atau khawatir untuk menghadapi soal soal hots matematika di sbmptn 2019 nanti.
Yuk belajar matriks sekali lagi dan kerjakan dengan menyenangkan ya.
Sbmptn Matematika Dasar Soshum 2016 Kode317 Matriks Invers
Kumpulan Soal Snmptn Sbmptn Materi Matriks
Soal Dan Pembahasan Matematika Matriks 1 5 Istana Mengajar
Pembahasan Sbmptn 2013 Matas Matriks
Contoh Soal Sbmptn Matriks I Marthamatika
Soal Dan Pembahasan Matematika Dasar Sbmptn 2013 Kode 224 No
Soal Dan Pembahasan Matematika Matriks 1 5 Istana Mengajar
Pengertian Transpose Matriks Sifat Sifatnya Serta Contoh
Soal Dan Pembahasan Matematika Matriks 1 5 Istana Mengajar
Contoh Soal Sbmptn Sifat Determinan Matriks Marthamatika
Rangkuman Contoh Soal Pembahasan Matriks
Sbmptn Dan Contoh Soal Pembahasan Soal Sbmptn 2018 Matdas
Sbmptn Matematika Dasar Soshum 2016 Matriks 2016 Kode 322
Soal Sbmptn 2014 Kunci Jawaban Soalujian Net
Sbmptn Dan Contoh Soal Fisika Matematika Nilai Eigen Dari
Kumpulan Soal Snmptn Sbmptn Materi Matriks
Soal Dan Pembahasan Matematika Matriks 1 5 Istana Mengajar
Gagal Snmptn Ini 8 Hal Yang Wajib Diketahui Tentang Sbmptn
Sbmptn Dan Contoh Soal Soal Matematika Dasar Matriks
Sbmptn Dan Contoh Soal Pembahasan Soal Sbmptn 2018 Tkpa
Pembahasan Soal Sbmptn 2017 Tkpa Matematika Dasarl No 46 Matriks
Pembahasan Soal Un 2012 Matriks
Persiapan Sbmptn Matematika Pelajari Materi Ktsp Atau K 13
Soal Dan Pembahasan Matematika Dasar Sbmptn 2013 Kode 224 No
Sbmptn Dan Contoh Soal Pembahasan Soal Sbmptn Matematika
Contoh Soal Invers Ruang Belajar Siswa Kelas 6
Matematika Dasar Sbmptn Tentang Matriks Lengkap Dengan
Soal Dan Pembahasan Matematika Matriks 1 5 Istana Mengajar
Soal Dan Pembahasan Matematika Dasar Sbmptn 2013 Kode 224 No
Pembahasan Soal Snmptn 2012 Matematika Ipa Kode 634
Sbmptn Dan Contoh Soal Contoh Soal Invers Suatu Matriks
Quipper Video Matematika Matriks Invers
Soal Dan Pembahasan Matematika Dasar Sbmptn 2013 Kode 224 No
Contoh Soal Soal Utbk 2019 Matriks Matematika Mudah Cepat
Matriks Matematika Sma Smk Materi Dan Soal Pembahasan
Bank Soal Dan Pembahasan Matematika Dasar Matriks Defantri Com
Analisis Bedah Soal Snmptn 2012 Matematika Dasar
Tips Menghadapi Soal Sbmptn Matematika Zenius Blog
Matriks Matematika Sma Smk Materi Dan Soal Pembahasan
Utbk Mulai Digelar Pahami Lagi Alokasi Waktu Jenis Dan
Rangkuman Contoh Soal Pembahasan Matriks
Contoh Soal Sbmptn Tentang Perkalian Determinan Dan Invers
Matematika Dasar Sbmptn Tentang Matriks Lengkap Dengan
Matematika Dasar Sbmptn Tentang Matriks Lengkap Dengan
Prediksi Soal Sbmptn 2019 Beserta Kunci Jawabannya
Matematika Dasar Sbmptn Tentang Matriks Lengkap Dengan
Sbmptn Dan Contoh Soal Contoh Soal Invers Suatu Matriks
Kisi Kisi Terbaru Utbk Sbmptn 2019 Kelompok Saintek Beserta
Determinan Dan Invers Matriks Ordo 2 Matematika Sbmptn Un Sma
Download Koleksi Lengkap Soal Matematika Dasar Sbmptn
Pembahasan Soal Matriks Ujian Nasional 2018
Kelas 12 Yuk Belajar Matriks Dan Contoh Soalnya Di Sini
Materi Apa Aja Yang Paling Sering Keluar Di Sbmptn Zenius
Soal Asli Utbk 2019 Matematika Saintek Determinan Matriks
Sbmptn Dan Contoh Soal Bahas Soal Utbk Sbmptn 2019 Matriks
Pembahasan Soal Sbmptn 2018 Saintek Matematika Pikiran Rakyat
Soal Dan Pembahasan Matematika Dasar Sbmptn 2013 Kode 224 No
Contoh Soal Sbmptn Kumpulan Soal Pelajaran 6
Soal Sbmptn Saintek Dan Pembahasan Soal Matematika
Materi Apa Aja Yang Paling Sering Keluar Di Sbmptn Zenius
Soal Dan Pembahasan Matematika Dasar Sbmptn 2013 Kode 224 No
Pengertian Transpose Matriks Sifat Sifatnya Serta Contoh
Soal Ujian Tes Potensi Skolastik Utbk Sbmptn 2019 Bukapintu
299322127 Kumpulan Soal Snmptn Sbmptn Materi Matriks
Invers Matriks Soal Simulasi Matematika 12 Ipa Dki 2018
Kelas 12 Yuk Belajar Matriks Dan Contoh Soalnya Di Sini
Contoh Soal Dan Pembahasan Determinan Matriks 4x4 Marthamatika
Kumpulan Soal Matriks Seleksi Masuk Ptn Konsep Matematika
Matematika Kelas 11 Mengenal Matriks Dalam Matematika
Matriks Matematika Sma Smk Materi Dan Soal Pembahasan
Contoh Soal Sbmptn Dan Pembahasan Invers Matriks Marthamatika
Sbmptn Dan Contoh Soal Cara Mudah Invers Suatu Matriks
Contoh Materi Yang Keluar Di Soal Matematika Dasar Sbmptn
Rangkuman Contoh Soal Pembahasan Matriks
Latihan Dan Pembahasan Soal Hots Sbmptn Matematika Dasar 2019
Sifat Determinan Dan Invers Matematika Sbmptn Un Sma
Kumpulan Soal Matematika Per Bab Seleksi Masuk Ptn Konsep
Pembahasan Utbk 2019 Matematika Saintek Catatan Matematika
Panduan Belajar Soal Hots Matematika Zenius Blog
Kumpulan Soal Snmptn Sbmptn Materi Matriks
Worldofequations World Of Equations Matriks Ft
Soal Dan Pembahasan Matriks Determinan Dan Invers
Sbmptn Dan Contoh Soal Matriks Contoh Soal Qwerty
Matematika Dasar Belajar Mengenal Matriks Defantri Com
Matematika Kelas 11 Mengenal Matriks Dalam Matematika
21 Soal Soal Transformasi Geometri
Invers Matriks Matematika Kelas 12 Quipper Blog
Pembahasan Soal Un Matematika Paket C Matriks Icpns
Sbmptn Dan Contoh Soal Matriks 2 Soal Bertipe Sbmptn Um
Contoh Soal Matriks Ilmu Pengetahuan
Jenis Jenis Matriks Matematika Sbmptn Un Sma
Pembahasan Soal Un 2012 Matriks
2 Batas Batas Nilai M Agar 1 X 1 2 Dan 2 X 2 3 Adalah A 4 5
Soal Matematika Matriks Pembahasan Sbmptn 2016 Soal
Matdas Instagram Posts Photos And Videos Instazu Com
Kelas 12 Yuk Belajar Matriks Dan Contoh Soalnya Di Sini

0 Response to "Contoh Soal Sbmptn Matematika Matriks"
Posting Komentar