Contoh Soal Integral Trigonometri
Rumus trigonometri invers beserta contoh soal dan jawaban arckosinus arctangen arckotangen arcsekan arckosekan rumus trigonometri dan contoh contoh soal beserta jawabannya fungsi matematika. Contoh soal dan pembahasan integral trigonometri skl kisi kisi un matematika sma 2012 dari soal soal integral trigonometri ujian tahun tahun sebelumnya.
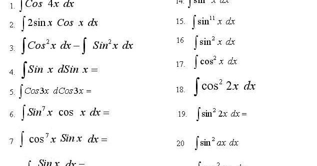
Integral Trigonometri Un Matematika Sma
Rumus integral trigonometri rasanya senang sekali bisa bersua kembali untuk membagikan berbagai informasi mengenai dunia pendidikan kali ini kita akan membahas materi matematika assiiiiik.
Contoh soal integral trigonometri. Kumpulan soal dan jawaban integral trigonometri. Integral tertentu dan integral tak tentu. Contoh soal integral substitusi trigonometri dan jawaban lengkap menguasai rumus dan cara menyelesainkan turunan dari semua fungsi trigonometri ini haruslah sahabat kuasai demi memperlancar kalian dalam menjawab soal un nanti.
Menentukan integral tak tentu dan integral tentu fungsi aljabar dan fungsi trigonometri. Dimana dalam integral ini kita akan membahas tentang integral trigonometri dengan berbagai latihan soal dan langkah langkah penyelesaiannya. Suatu fungsi trigonometri juga dapat diintegralkan.
Kamu akan diajak untuk memahami materi hingga metode menyelesaikan soal. Pada tutorial integral sebelumnya kita telah banyak menyinggung beberapa konsep integral yaitu. Contoh soal dan pembahasan tentang trigonometri contoh soal dan pembahasan tentang rumus perbandingan sinus cosinus dan tangen contoh soal dan pembahasan tentang nilai nilai sudut istimewa contoh soal dan pembahasan tentang dalil dalil dalam segitiga contoh soal dan pembahasan tentang kali bagi jumlah dan kurang dalam trigonometri contoh soal dan pembahasan tentang penjumlahan sudut.
Belajar matematika adalah hal yang sangat menyenangkan walaupun bagi sebagian orang matematika adalah pelajaran yang membuat pusing. Rumus integral trigonometri dan berbagai penyelesaian contoh soal. Menampilkan tabel rumus integral trigonometri dan contoh soal menentukan nilai integral trigonometri dilengkapi pembahasan lengkap dan jelas.
Di sini kamu akan belajar tentang integral trigonometri melalui video yang dibawakan oleh bapak anton wardaya. Kumpulan soal mudah sedang sukar. Linear konstan identitas beserta soal dan jawaban.
Bentuk baku integral trigonometri selain rumus dasar integral di atas dalam mengintegralkan fungsi trigonometri juga digunakan identitas trigonometri. Nah pelajaran ini akan kalian temukan di materi kelas 12 sma ipa dimana ini akan pasti keluar di un dengan jumlah yang mungkin saja tidak begitu banyak. Untuk megintegralkan fungsi trigonometri ada beberapa rumus rumus dasar yang perlu diketahui.
Integral trigonometri hai kali ini kita akan membahas mengenai integral trigonometri.
Integral Trigonometri Pendidikan Matematika
Soal Dan Pembahasan Integral Trigonometri 1 5 Istana
Rumus Dan Contoh Soal Integral Tak Tentu Fungsi Trigonometri
Integral Trigonometri Contoh Soal Genggam Internet
Soal Integral Substitusi Fungsi Trigonometri
Integral Trigonometri Un Matematika Sma
Rumus Integral Trigonometri Dan Penyelesaian Genggam Internet
Soal Integral Fungsi Trigonometri
Integral Tak Tentu Dari Fungsi Trigonometri Materi Lengkap
Integral Trigonometri Un Matematika Sma
Rumus Integral Trigonometri Rumushitung Com
Rumus Integral Trigonometri Dan Cara Menentukannya
Tolong Buatkan Contoh Soal Dari Integral Trigonometri
Integral Trigonometri Belajar Matematika Online
Integral Trigonometri Pendidikan Matematika
Pelajaran Soal Rumus Integral Trigonometri Wardaya College
Soal Dan Pembahasan Integral Tertentu Fungsi Trigonometri 1
Contoh Soal Integral Trigonometri Rumushitung Com
Contoh Soal Dan Pembahasan Integral Trigonometri
M202 Integral Trigonometri Contoh Soal
Integral Trigonometri Un Matematika Sma
Rumus Integral Trigonometri Dan Cara Menentukannya Lengkap
Soal Dan Pembahasan Integral Tertentu Fungsi Trigonometri 1
Teknik Integral Substitusi Fungsi Trigonometri
Contoh Soal Integral Tentu Tak Tentu Substitusi Parsial
Memahami Macam Macam Integral Rumus Matematika
Contoh Soal Integral Substitusi Kumpulan Soal Pelajaran 6
Integral Trigonometri Sin Ax B Kelas Xii Sma
Pelajaran Soal Rumus Integral Trigonometri Wardaya College
Soal Integral Fungsi Trigonometri
Rumus Integral Trigonometri Dan Cara Menentukannya
Contoh Soal Integral Trigonometri Dan Pembahasan Guru Sma
Pelajaran Soal Rumus Integral Substitusi Trigonometri
Contoh Soal Dan Pembahasan Integral Trigonometri
Ruang Belajar Siswa Kelas 1 Contoh Soal Integral Trigonometri
Contoh Soal Dan Pembahasan Integral Trigonometri Docx
Pelajaran Soal Rumus Integral Substitusi Trigonometri
Rumus Integral Matematika Tak Tentu Tentu Dan Trigonometri
Contoh Soal Dan Penyelesaian Trigonometri Secara Lengkap
10 Soal Latihan Integral Trigonometri Dan Pembahasannya
Integral Trigonometri Docx Integral Trigonometri Ingat
Kalkulus Teknik Informatika Ppt Download
Integral Trigonometri Rumus Integral Cos Soal Pembahasan
Teknik Integral Substitusi Fungsi Trigonometri
Soal Dan Pembahasan Integral Tertentu Fungsi Trigonometri 1
Pelajaran Soal Rumus Integral Trigonometri Wardaya College
Contoh Soal Integral Trigonometri Pengertian
Soal Dan Pembahasan Integral Trigonometri Pdf
Teknik Integral Substitusi Fungsi Trigonometri
Soal Dan Pembahasan Integral Tertentu Fungsi Trigonometri 1
Matematika Lanjutan Kalkulus 2 16 Teknik Integral Substitusi Trigonometri Dan Contoh Sederhana
Rumus Integral Trigonometri Rumushitung Com
Integral Trigonometri Rumus Integral Cos Soal Pembahasan
Integral Trigonometri Fungsi Beserta Contoh Soal Dan Jawaban
Contoh Soal Integral Parsial Dan Penyelesaiannya Angelsmars
Rumus Integral Trigonometri Dan Cara Menentukannya
Integral Integral Tentu Tak Tentu Substitusi Parsial
Soal Dan Pembahasan Integral Metode Substitusi Trigonometri
Doc Integral Gita Hanifah Academia Edu
Contoh Soal Integral Tentu Tak Tentu Substitusi Parsial
Integral Fungsi Trigonometri Tak Tentu Bagian Pertama
Rumus Integral Trigonometri Dan Cara Menentukannya
Pelajaran Soal Rumus Integral Substitusi Trigonometri
Contoh Soal Integral Tentu Tak Tentu Substitusi Parsial
Pdf Pertemuan 12 Pokok Pembahasan Teknik Pengintegralan
Rumus Integral Trigonometri Rumushitung Com
Rumus Integral Matematika Tak Tentu Tentu Dan Trigonometri
12 Integral Substitusi Trigonometri
Integral Trigonometri Rumus Integral Cos Soal Pembahasan
Integral Trigonometri Fungsi Beserta Contoh Soal Dan
Rumus Integral Trigonometri Dan Cara Menentukannya
Integral Trigonometri Docx Integral Trigonometri Ingat
Memahami Macam Macam Integral Rumus Matematika
Contoh Soal Trigonometri Kumpulan Soal Pelajaran 6
Rumus Lengkap Integral Tak Tentu Contoh Dan Pembahasannya
Contoh Soal Integral Substitusi Trigonometri Dengan Mudah Matematika 12
Contoh Contoh Soal Dan Pembahasan Integral Untuk Sma
5 Contoh Soal Integral Tentu Tak Tentu Substitusi
Integral Trigonometri Latihan Soal
Soal Dan Pembahasan Integral Tertentu Fungsi Trigonometri 1
Teknik Integral Substitusi Fungsi Trigonometri
Integral Trigonometri 1 Kelas Xii Sma
Trigonometri Turunan Integral Dan Contoh Soal Rumus













0 Response to "Contoh Soal Integral Trigonometri"
Posting Komentar